很不平凡中,迎难而上|这是大森林物流的2025年度答卷喜讯!大森林物流荣获中国跨境电商物流 “出海领军企业” 和 “头程物流标杆企业” 双奖项!大森林客户端下单说明喜讯!大森林物流创始人 Forest 荣登2025中国跨境电商物流名人堂!大森林全球物流国内(自营仓)收货地址很不平凡中,迎难而上|这是大森林物流的2025年度答卷
    产品中心
    新闻资讯
    合作流程 常用网站 下载中心
  • 在线下单
  • 千里鸟空运
  • 关于我们
首页
产品中心
产品中心 整柜拼箱 空运快递 海外仓 清关服务
新闻资讯
新闻资讯 跨境百科 常见问题 大森林动态 预排柜计划 物流知识 末端物流动态
合作流程 常用网站 下载中心
  • 在线下单
  • 千里鸟空运
  • 关于我们
  • 公司简介 大牛海外仓 联系我们

    请输入订单号

    验证码已过期

    该网站暂无对应网址

      整柜拼箱 空运快递 海外仓 清关服务
      公司简介 大牛海外仓 联系我们
      跨境百科 常见问题 大森林动态 预排柜计划 物流知识 末端物流动态
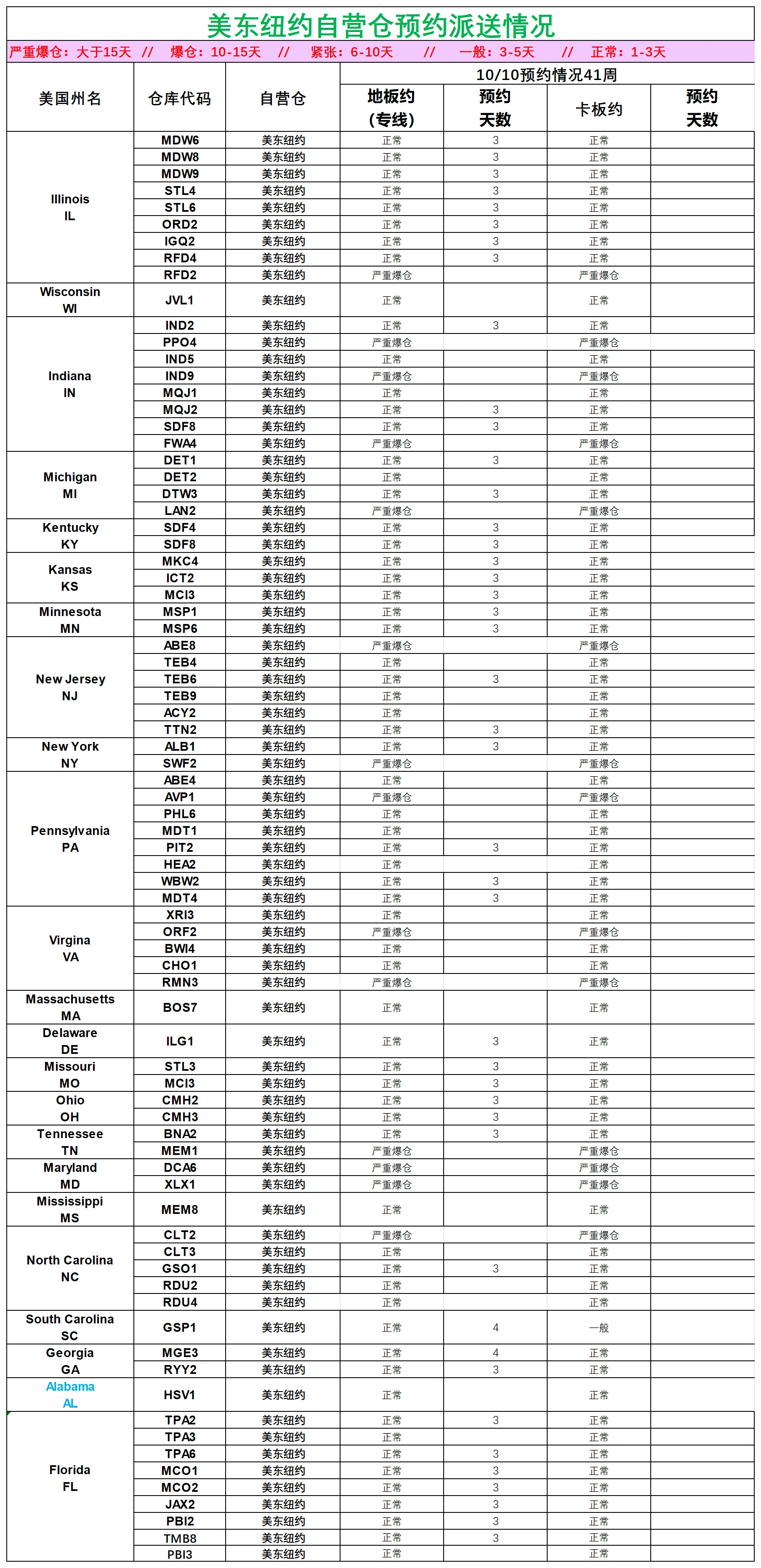
    首页 > 末端物流动态>> 2025年10月10日美国到港时效及后端派送情况更新 >

    2025年10月10日美国到港时效及后端派送情况更新

    2025-10-11
    {{alt}}

    3.18.jpg

    美国后段派送情况_船司航程情况.png

    美国后段派送情况_海外仓预约送仓.png

    美国后段派送情况_美东纽约.png

    美国后段派送情况_美西奥克兰.png

    美国后段派送情况_美西洛杉矶.png

    美国后段派送情况_美中休斯顿.png

    美国后段派送情况_美中芝加哥.png

    美国后段派送情况_萨瓦纳.png


    >
    下一条:
    2025年10月10日加拿大到港时效及后端派送情况更新
    相关推荐
    很不平凡中,迎难而上|这是大森林物流的2025年度答卷 喜讯!大森林物流荣获中国跨境电商物流 “出海领军企业” 和 “头程物流标杆企业” 双奖项! 大森林客户端下单说明 喜讯!大森林物流创始人 Forest 荣登2025中国跨境电商物流名人堂! 大森林全球物流国内(自营仓)收货地址
    文章推荐
    2026年1月23日美国到港时效及后端派送情况更新
    2026-01-26
    2026年1月23日加拿大到港时效及后端派送情况更新
    2026-01-26
    2026年1月23日欧洲到港时效及后端派送情况更新
    2026-01-26
    2026年1月16日加拿大到港时效及后端派送情况更新
    2026-01-19
    2026年1月16日美国到港时效及后端派送情况更新
    2026-01-19
    产品中心 海运拼箱哥 千里鸟空运快递 大牛海外仓 清关服务 末端物流动态
    关于我们
    公司简介 联系我们 网站地图
    产品中心
    产品中心 海运拼箱哥 千里鸟空运快递 大牛海外仓 清关服务 末端物流动态
    关于我们
    公司简介 联系我们 网站地图
    客户服务
    0755-85538553
    fba@fbashipping.com
    周一至周五9:00-12:30,14:00-18:00;周六:9:00-12:30
    深圳龙岗区坂田街道雪岗北路2018号天安云谷2期6栋东西座33楼3301-3304&3307-3309/东座32楼3205-3206
    关注我们
    欧美航线联系人
    谢女士
    日.新.澳航线联系人
    张小姐
    友情链接 ( 点击申请 ):
    亚马逊FBA物流 立刻查 跨境电商ERP 国际小包快递 全球商标注册 跨境电商培训 蓝海跨境 外贸软件 17track物流查询平台 企业综合出海服务平台 赛狐 大数跨境 LoveAd爱竞 万里汇
    大森林全球物流(深圳)有限公司 粤ICP备18128220号 粤公网安备44030002006691号
    友情链接
    0 / 200
    0 / 50
    0 / 30
    0 / 30
    0 / 30
    0 / 4
    0 / 150
    0755-8553 8553